赛分硅胶色谱柱   HP-DiolHP-Diol
  • 赛分硅胶色谱柱   HP-DiolHP-Diol

硅胶色谱柱 HP-Diol

  • 品牌: 赛分
  • 型号:HP-Diol
  • 监管:
  • 尊敬的供应商:如果您对展示该产品有异议,请至电:021-50308503我们将在第一时间处理!
    产品名称:硅胶色谱柱 HP-Diol
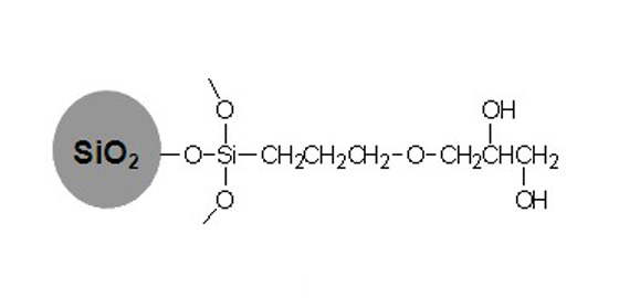
    结构组成
    适用范围
    温馨提示
    1.硅胶色谱柱 HP-Diol可能含有禁忌内容或者注意事项,具体详见说明书;
    2.购买硅胶色谱柱 HP-Diol,消费者应仔细阅读产品说明书或者在医务人员的指导下购买和使用。
      编辑日期:2026-03-30

    采用高度可控的聚合单分子层形成技术

    高的柱间重现性

    高的选择性和分离效率

    HP-Diol为极性固定相,可分离酸性、中性和碱性有机化合物以及**分子等HP-Diol固定相键合有1,2-二羟基丙基丙醚官能团,可与极性化合物发生相互作用。该固定相采用聚合化学键合技术,具有高的分离效率和化学稳定性,可用于多肽,蛋白,以及极性**分子等的分离。Sepax HP-Diol柱还可基于体积排阻机理对生物分子进行分离。


    注册证号
    没有资料
    招标产品 品牌/型号 招标单位 中标单位 中标价格中标日期
    *硅胶色谱柱 HP-Diol中标信息来源于互联网,仅供参考!
    硅胶色谱柱 HP-Diol说明书 正在维护中,如有需求请致电:021-50308503
同品牌产品
产品知识
我要咨询
×