赛分硫酸软骨素钠专用柱   CS-SAXCS-SAX
  • 赛分硫酸软骨素钠专用柱   CS-SAXCS-SAX

硫酸软骨素钠专用柱 CS-SAX

  • 品牌: 赛分
  • 型号:CS-SAX
  • 监管:
  • 尊敬的供应商:如果您对展示该产品有异议,请至电:021-50308503我们将在第一时间处理!
    产品名称:硫酸软骨素钠专用柱 CS-SAX
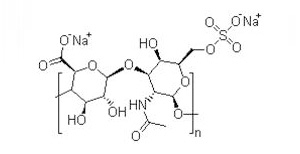
    结构组成
    适用范围
    温馨提示
    1.硫酸软骨素钠专用柱 CS-SAX可能含有禁忌内容或者注意事项,具体详见说明书;
    2.购买硫酸软骨素钠专用柱 CS-SAX,消费者应仔细阅读产品说明书或者在医务人员的指导下购买和使用。
      编辑日期:2026-03-30

    硫酸软骨素钠专用柱CS-SAX键合相是以高纯度的硅胶为基质,**大限度实现单层官能团覆盖,因此具有优异的稳定性。

    通过严格控制的合成反应条件,可确保柱与柱之间有着可靠的重现性。

    通过运用独有的装填技术得到的色谱柱柱床密度均一稳定,因此可保证具有**高的柱效。

    符合药典对于色谱柱基质的要求,完全满足药典对于样品检测的分离要求。硫酸软骨素钠专用柱CS-SAX是以高纯度具有良好机械稳定性的硅胶为基质,通过使用高纯度键合试剂在硅胶上键合季铵强阴离子交换基团而得到。在药典色谱条件下的分离过程中,对软骨素二糖、6-硫酸化软骨素二糖、4-硫酸化软骨素二糖的分离度完全满足药典要求。


    注册证号
    没有资料
    招标产品 品牌/型号 招标单位 中标单位 中标价格中标日期
    *硫酸软骨素钠专用柱 CS-SAX中标信息来源于互联网,仅供参考!
    硫酸软骨素钠专用柱 CS-SAX说明书 正在维护中,如有需求请致电:021-50308503
同品牌产品
产品知识
我要咨询
×